Узнайте сумму кредита в Т‑БизнесеУзнайте сумму кредита в Т‑БизнесеОт 2 минут онлайнОт 2 минут онлайнПодробнее

РассылкиИдеи для бизнесаБизнес с нуляМаркетплейсыБухгалтерияЛайфстайлСправочникШаблоны документов
РассылкиИдеи для бизнесаБизнес с нуляМаркетплейсыБухгалтерияЛайфстайлСправочникШаблоны документов

Все компании и ИП на УСН должны раз в год сдавать налоговую декларацию — даже если они не вели деятельность. Если не представлять нулевую декларацию в срок, налоговая может оштрафовать, а при просрочке свыше 20 рабочих дней — заблокировать расчетный счет.

📄 Внутри — предзаполненные шаблоны декларации для УСН «Доходы» и «Доходы минус расходы», сохраняйте!

Самое важное, что нужно знать про УСН
  1. Что меняется на УСН с 2026 года.
  2. Какую упрощенку выбрать: «Доходы» или «Доходы минус расходы».
  3. Как сэкономить налоги на упрощенке.
  4. Как заполнить годовую декларацию по УСН.

Что такое нулевая декларация и кто обязан ее сдавать

Нулевой называют декларацию, в которой нет налоговой базы и налога к уплате.

Нулевую декларацию сдают компании или ИП без доходов и расходов, которые не ведут деятельность. Так бывает, если они, например, зарегистрировались в конце года и еще не начали работать либо ИП приостановил работу, но с учета сниматься не стал.

Еще сдавать нулевую декларацию обязаны ИП, которые ведут деятельность на патенте, а УСН у них как вторая система налогообложения — для подстраховки.

Чтобы узнать, работает ли ИП на упрощенке, можно запросить в налоговой информационное письмо по форме № 26.2‑7, которое подтвердит переход на спецрежим. Но более простой вариант — в личном кабинете ИП на сайте ФНС зайти на вкладку «Мои системы налогообложения» и посмотреть, есть ли там УСН.

Нулевую декларацию не сдают ИП, которые находятся на налоговых каникулах и работают. Они ведут деятельность, получают доходы и несут расходы, поэтому должны подавать обычную декларацию. Там будет налоговая база — доходы или прибыль, но не будет налога к уплате из‑за ставки 0%.

Если у ИП или компании на УСН «Доходы минус расходы» были расходы, но не было доходов — подают частично заполненную декларацию, в которой отражают только расходы и убыток. Она уже не будет нулевой.

Нулевую декларацию сдают на том же бланке, что и обычную. Покажем дальше на примерах, по какой форме сдавать декларацию по УСН и как заполнить нулевые декларации для разных объектов спецрежима.

Т-Бизнес секреты: новости, анонсы событий, советы предпринимателей

Телеграм‑канал: 68 261 читатель

Т‑Бизнес секреты: новости, анонсы событий, советы предпринимателей
Подписаться

Как заполнять нулевую декларацию по УСН «Доходы»

ООО и ИП в нулевой декларации по УСН «Доходы» заполняют:

  • титульный лист;
  • раздел 1.1;
  • раздел 2.1.1;
  • раздел 4 — заполняют упрощенцы из новых регионов: ДНР, ЛНР, Херсонской и Запорожской областей.

Нулевая декларация на УСН «Доходы»

Нулевую декларацию по форме КНД 1152017 подают компании и ИП на УСН, если они не ведут деятельность или если в отчетном году у них не было доходов.

Титульный лист. Правила заполнения титульного листа прописаны в приказе налоговой службы.

Порядок заполнения титульного листа
СтрокаКак заполнять
Налоговый период34 — если ИП или ООО сдает отчет за предыдущий год;
50 — при закрытии ИП или ООО
Код по месту учета или нахождения120 — для ИП;
210 — для ООО
КППИП ставит прочерк, так как КПП у него нет;
ООО — указывает КПП
Номер корректировки0 — если компания или ИП подает первую декларацию за отчетный период;
1, 2, 3 — если подает уточненную декларацию, цифра означает ее номер
Отчетный год2025 — если отчитываетесь в 2026 году за 2025 год
Код налоговойПервые четыре цифры ИНН компании или ИП
ФИОФамилия, имя, отчество руководителя ООО или ИП, указывается с левого края, каждое слово с новой строки
Номер телефонаНомер без пробелов, скобок и прочерков
Код объекта налогообложения1 — объект «Доходы»;
2 — объект «Доходы минус расходы»
Количество страниц в заполненной декларацииНужно написать общее количество страниц декларации — например, 4
Количество листов приложенных документов (при наличии)Обычно оставляют пустым

В левом нижнем блоке указывают данные человека, который подает и подписывает декларацию:

«1» — если это предприниматель или директор компании;

«2» — если отчетность сдает представитель, например бухгалтер.

Если электронную декларацию подает представитель компании или ИП, в поле «Наименование и реквизиты документа, подтверждающего полномочия представителя налогоплательщика» указывают электронный уникальный идентификатор машиночитаемой доверенности — GUID. Это набор цифр и латинских букв, например 5f2504e0‑4f89‑55d3‑9a0c‑0305e82c3301.

Образец заполнения титульного листа нулевой декларации по УСН «Доходы» для ООО
Пример заполнения титульного листа нулевой декларации по УСН «Доходы» для ООО

Раздел 1.1. Тут заполняют только строку 010. В ней указывают код ОКТМО — код муниципального образования, где ИП или компания стоит на учете.

Остальные строки оставляют пустыми, если заполняют на компьютере, или ставят прочерки, если вручную.

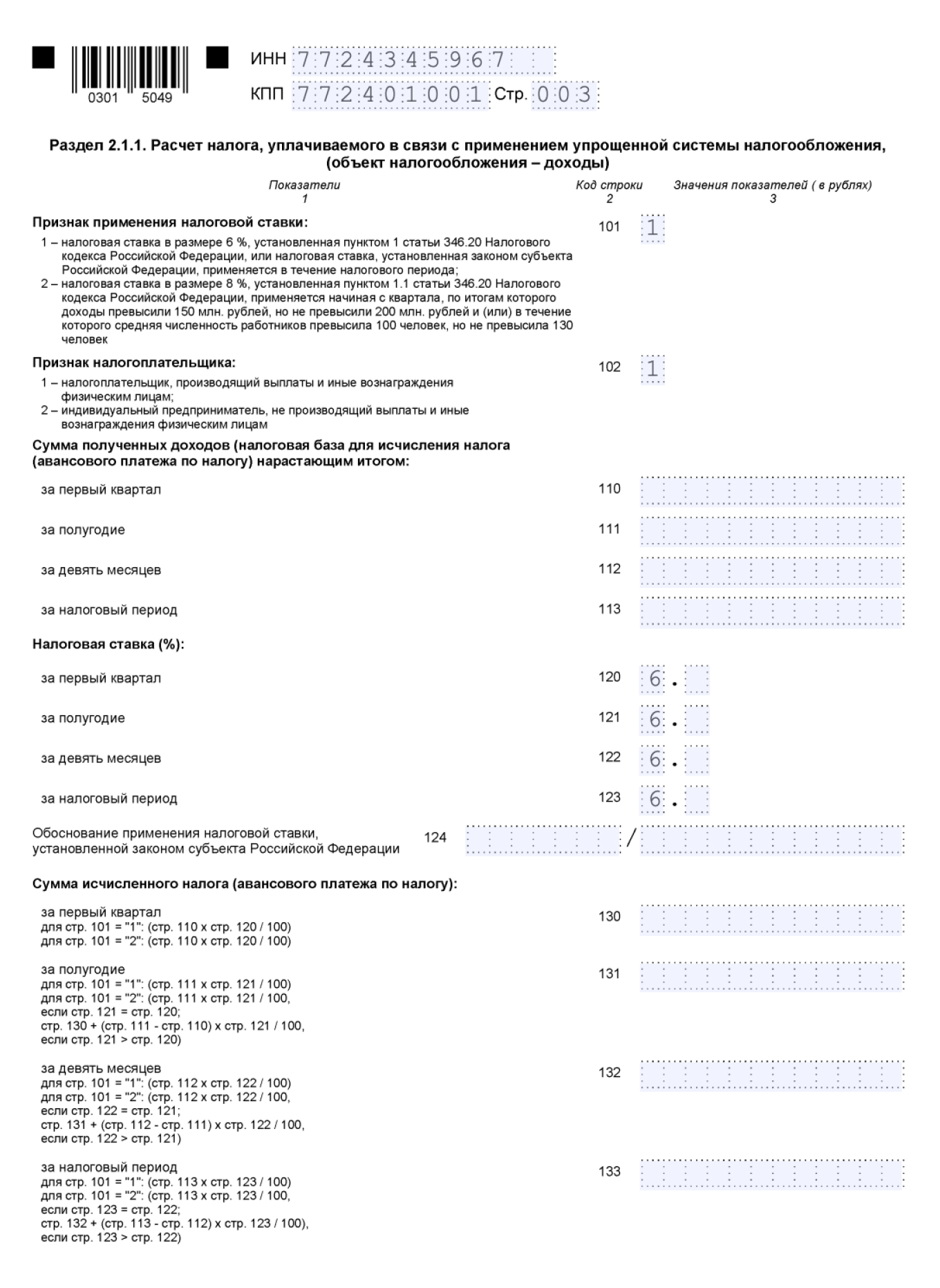
Раздел 2.1.1. В нем заполняют уже больше строк.

В строке 101 указывают код признака применения налоговой ставки: «1» — если налоговая ставка 6% или другая сниженная по решению субъекта РФ.

В строке 102 предприниматели с работниками и все компании ставят «1», ИП без сотрудников ставят «2».

В строках 120—123 указывают ставку налога за каждый отчетный период и за год. Если вы на УСН 6% — пишите цифру 6, а если применяете сниженную региональную ставку — ее значение, например 1.

В строке 124 — обоснование применения льготной налоговой ставки. Заполняют ИП или компания, которые используют пониженную ставку по региональному закону.

Значение состоит из двух частей. Первая часть — номер статьи 346.20 НК РФ и пункт, которым установлено право региона на понижение ставки УСН:

  • 3462010 — объект «Доходы»;
  • 3462030 — для налогоплательщиков Республики Крым и Севастополя;
  • 3462040 — для налоговых каникул.

Вторая часть — код, который состоит из подпункта, пункта и статьи закона субъекта РФ, установившего пониженную ставку:

  • с 1‑й по 4‑ю клетку — номер статьи;
  • с 5‑й по 8‑ю клетку — номер пункта;
  • с 9‑й по 12‑ю — номер подпункта.

Каждое значение занимает четыре клетки, в пустые клетки вписывают нули. Заполнять клетки нужно слева направо. Точка занимает отдельную клетку. Например, если в законе статья 1.3, первые четыре клетки надо заполнить так: «01.3».

В остальных строках — прочерки, если декларацию по УСН заполняют вручную. Если на компьютере, программа оставит пустые ячейки.

Образец заполнения раздела 2.1.1 нулевой декларации по УСН «Доходы» для ООО
Пример заполнения раздела 2.1.1 нулевой декларации по УСН «Доходы» для ООО

Раздел 4 заполняют упрощенцы новых регионов. Они вправе уменьшить сумму УСН на сумму покупки одной онлайн‑кассы, но не более чем на 28 000 ₽. Главное — успеть зарегистрировать ККТ до конца 2025 года. Правда, для нулевой декларации это не актуально.

Аватар дайджеста

Рассылка: как вести бизнес в России

Пять полезных писем пришлем сразу после подписки. В них — бизнес‑идеи, готовые промпты для нейросетей, советы, как выбрать налоговый режим и получать пассивный доход

Аватар дайджеста

Как заполнить нулевую декларацию по УСН «Доходы минус расходы»

В нулевой декларации по УСН «Доходы минус расходы» заполняют:

  • титульный лист;
  • раздел 1.2;
  • раздел 2.2.

Нулевая декларация на УСН «Доходы минус расходы»

Нулевую декларацию по форме КНД 1152017 подают компании и ИП на УСН, если они не ведут деятельность или если в отчетном году у них не было доходов и расходов.

Титульный лист заполняют так же, как и для УСН «Доходы».

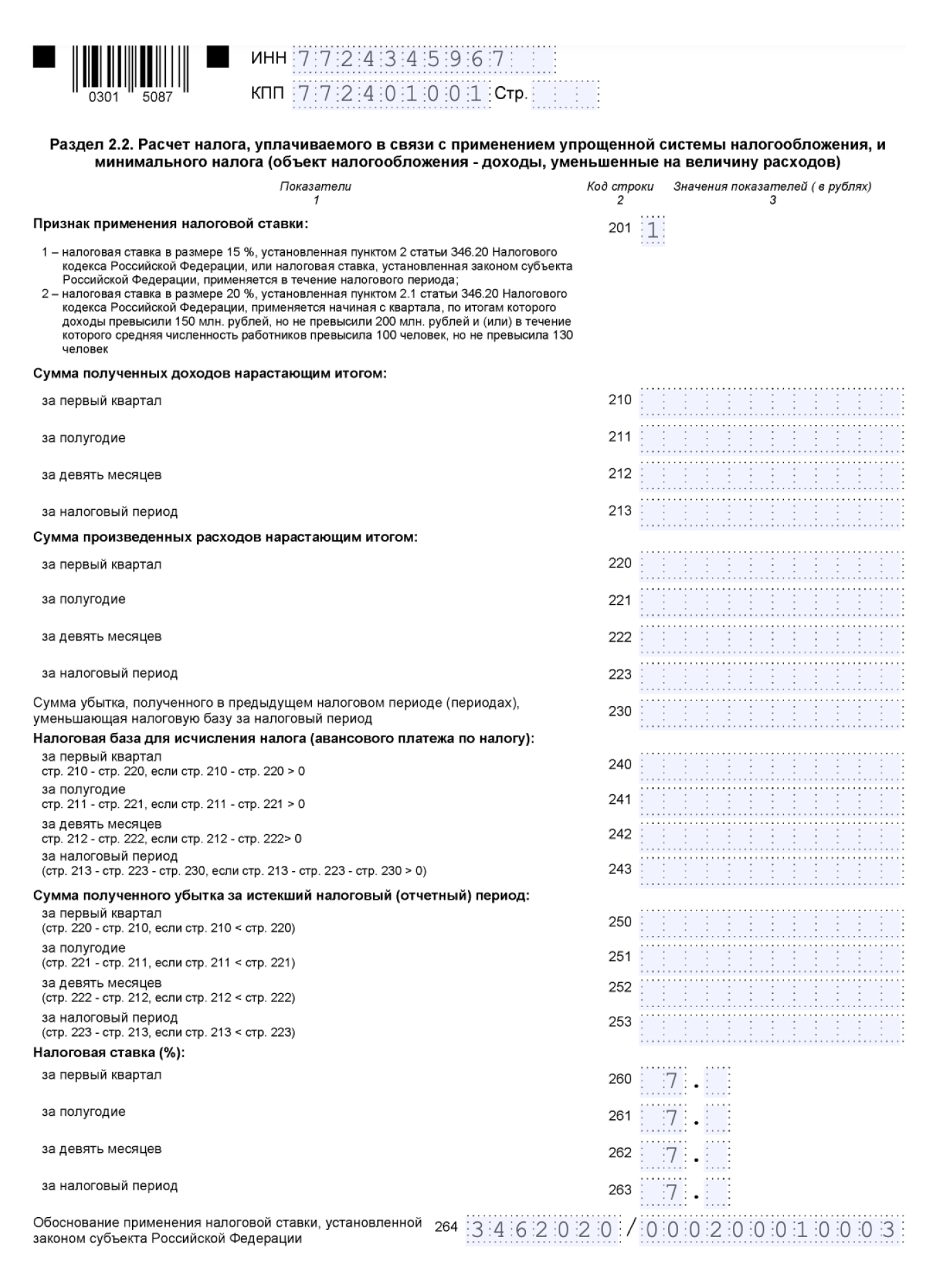
В разделе 1.2 указывают код ОКТМО, а в остальных ячейках ставят прочерки.

В разделе 2.2:

  • в строке 201 указывают «1», если компания или ИП применяет налоговую ставку 15% или сниженную по региональному закону;
  • в строках 260—263 указывают ставку налога за каждый отчетный период и за год;
  • в строке 264 — обоснование применения сниженной налоговой ставки по закону субъекта РФ. Правила заполнения такие же, как для УСН «Доходы»;
  • в остальных строках ставят прочерки или оставляют пустыми.

Если у ИП или компании не было только доходов, а расходы были, например страховые взносы, — их нужно отразить в разделе 2.2 и сформировать убыток, который потом можно перенести на следующие годы.

Образец заполнения раздела 2.2 нулевой декларации по УСН «Доходы минус расходы»
Пример заполнения раздела 2.2 нулевой декларации по УСН «Доходы минус расходы». Бизнес вправе был применять сниженную региональную ставку — 7% вместо 15%, потому в стр. 264 привел обоснование этого

Рассчитать страховые взносы ИП можно в нашем калькуляторе.

Начало периода
1 января 2026
2026
пнвтсрчтптсбвс
Конец
31 декабря 2026
2026
пнвтсрчтптсбвс
  • Всего к уплате
    57 890,00
  • Фиксированный взнос
    57 390,00
    нужно уплатить до 
  • 1% с дохода, превышающего 300 000 рублей
    500,00
    нужно уплатить до 

Порядок и сроки сдачи

Нулевую декларацию по УСН можно сдать:

  • в налоговой лично или через представителя;
  • заказным письмом с описью вложения;
  • онлайн через оператора ЭДО или личный кабинет налогоплательщика на сайте налоговой службы.

Нулевую декларацию по УСН сдают:

  • ИП — до 25 апреля. Так, декларацию за 2025 год нужно сдать до 27 апреля 2026 года;
  • компании — до 25 марта. Декларацию за 2025 год надо сдать до 25 марта 2026 года.

Если у вас ИП на УСН «Доходы» без сотрудников, сдать декларацию можно полностью онлайн в сервисе Т⁠-⁠Банка — бесплатной онлайн‑бухгалтерии. Сервис автоматически сформирует и выгрузит декларацию. Вам останется только подписать ее квалифицированной электронной подписью. Главное условие — сервис работает только вместе со счетом для бизнеса в Т⁠-⁠Банке.

Бухгалтерскую отчетность компании сдают в электронном виде — в налоговую по месту регистрации, до 31 марта. Например, отчетность за 2025 год нужно сдать до 31 марта 2026 года.

Сроки сдачи статистической отчетности зависят от той формы, которую нужно сдать компании или ИП. Они указаны на сайте Росстата, рядом с названием конкретного отчета.

Список отчетов и сроки сдачи с сайта Росстата
Скрин с сайта службы государственной статистики — список отчетов и сроки Т⁠-⁠Банка

Какую еще отчетность нужно сдать на УСН, если компания или ИП не ведут деятельность

Кроме нулевой декларации, ИП без работников не должны больше ничего сдавать, но обязаны вести книгу учета доходов и расходов — КУДиР. ООО, помимо заполнения КУДиР, сдают отчетность по сотрудникам, даже если в штате один человек, а также бухгалтерскую отчетность по итогам года.

КУДиР. Если компания или ИП не работали в течение года, вести книгу все равно придется: нужно заполнить титульный лист, а по разделам проставить нули. Нулевую КУДиР нужно распечатать, пронумеровать, прошить и подписать. Сдают КУДиР только по запросу налоговой.

Книга учета доходов и расходов при УСН

Обязательна для всех ИП и компаний на УСН: в нее вносят все поступления и расходы, учитываемые при расчете налога. Книгу может запросить налоговая во время проверки.

Отчетность за сотрудников. По сотрудникам нужно подавать такие отчетные формы:

Бухгалтерская отчетность. Ее сдают только компании. Организации на УСН, относящиеся к малому бизнесу, могут сдавать две упрощенные формы: бухгалтерский баланс и отчет о финансовых результатах.

Бухгалтерский баланс не будет нулевым. В нем как минимум нужно указать в пассиве — уставный капитал, а в активе — имущество и имущественные права в сумме, равной уставному капиталу.

В отчете о финансовых результатах нужно заполнить только шапку с данными о компании и поставить подпись.

Статистическая отчетность. Какие отчеты и когда нужно сдавать в Росстат, подробно разобрали в отдельной статье.

Если компания или ИП не работали, но должны сдать статотчетность — в ней надо заполнить только титульный лист, остальные показатели нулевые.

Штрафы за несдачу декларации

  • компанию или ИП могут оштрафовать на 1 000 ₽;
  • директору организации, главному бухгалтеру могут вынести предупреждение или выпишут штраф — от 300 до 500 ₽.

Кроме штрафа, через 20 рабочих дней налоговая может заблокировать счета компании или ИП.

Главное

  1. Нулевую декларацию сдают компании или ИП без доходов и расходов, которые не ведут деятельность.
  2. Не сдают декларацию: ИП, которые находятся на налоговых каникулах и работают.
  3. Кроме нулевой декларации, ИП без работников не должны больше ничего сдавать, но обязаны вести книгу учета доходов и расходов — КУДиР.
  4. Если есть сотрудники, сдавать надо несколько форм: РСВ, 6‑НДФЛ, персонифицированные сведения о физлицах, подраздел 1.1 ЕФС‑1, раздел 2 ЕФС‑1.
Елена Галичевская
Елена Галичевская

Какие у вас бывали сложности с нулевой декларацией?

Комментарии проходят модерацию по правилам редакции

Елена Алексеева

В статье написано: «Код налоговой — Это первые четыре цифры ИНН».
Эта информация неверная. Правильно будет так:
«Код налоговой — это код инспекции ИФНС в каждом конкретном регионе страны»

Maria Sannikova

И так ничего и не исправили🙈

Нет, в статье указано не верно. Код налоговой не обязательно первые 4 цифры ИНН.

Fundumental Sciences 4

Форма разве 0301 4011, не 0301 3014?? (на первом листе)

А если уже опоздал со сдачей, можно уже ничего не делать и просто заплатить штраф??)

Эксперт Т-Бизнес секретов

Здравствуйте.
Вам нужно будет сдать декларацию и уплатить штраф. Через 20 дней налоговая может заблокировать счет, если не сдать декларацию.

Добрый день. Я ИП С февраля 2023г когда мне нужно здать нулевую декларацию

Nastya Vayner

Добрый день. Подскажите пожалуйста, нужно ли сдавать нулевую декларацию, если у меня сейчас налоговые каникулы? Я открыла ИП в феврале, оквэд 85.41. Весь год вно******** только страховые взносы. Ели нужно, то как это можно сделать, находясь в другой стране? Спасибо!

Эксперт Т-Бизнес секретов

Здравствуйте.
Да, нулевую декларацию нужно подать. Из другой страны декларацию можно отправить в налоговую почтой, либо электронно через личный кабинет налоговой или Тинькофф бухгалтерию.
Подробнее с инструкцией можно ознакомиться по ссылке
https://www.tbank.ru/business/help/reports/tinkoff‑accounting/tax‑service/declaration/

user31677

Здравствуйте.
1 декабря 23 перешла с УСН Доходы на ИП на НПД. Дохода в 23 не было.
Подскажите, пожалуйста, какую декларацию сдать нужно? Нулевую за весь 23 или нулевую до 1.12.23? Или другую?

svetakononova925

Здравствуйте! отличается ли бланк налоговой декларации для ИП на упрощенке нулевой и если доход был?

Эксперт Бизнес-секретов

Искандер, рассказали об этом в статье: «Если у ИП или компании не было только доходов, а расходы были, например страховые взносы, — их нужно отразить в разделе 2.2 и сформировать убыток, который потом можно перенести на следующие годы».

Неправильно дана информация о коде налоговой — ООО или ИП могут быть зарегистрированы в одном регионе, а стоять на учете в ифнс в другом регионе. Поэтому код налоговой для сдачи отчетности это не первые 4 цифры ИНН.
Как пример, ООО зарегистрировано в Московской области, ИНН 5041хххххх КПП 504101001, а потом сменило юр.адрес и переехало в Москву. ИНН остался прежним 5041хххххх, а КПП изменилось, например, на 773401001. И отчетность уже сдается в налоговую с кодом 7734.
Также по ИП.
Физлицо может получить в одном регионе, ИП зарегистрировать в другом, а потом еще ИП может переехать, не прекращая деятельность. И налоговые, а соответственно и их коды, будут разные. Надо смотреть выписку из ЕГРИП или информацию, какая инспекция указана в ЛК на сайте налоговой.

Марина Тойгильдина

Не принимают нулевую декларацию заполненную вручную из за отсутствия штрих кода. Что делать

Елена Галичевская
Елена Галичевская

Марина, добрый день. Сдать на бланке со штрих кодами. Без штрих кодов не примут. Бланк найдете на сайте Т‑Бизнес секретов, например, для УСН «Доходы» вот https://secrets.tbank.ru/documents/nulevaya‑deklaracziya‑pri‑usn‑dohody/.

Даниил Денисов

В статье написано «В строке 101 указывают код признака применения нало..» но в шаблоне «Доходы» нет такой строки

Даниил Денисов

Даниил, https://www.nalog.gov.ru/html/sites/www.new.nalog.ru/files/about_fts/docs/16598752_1.pdf
https://www.nalog.gov.ru/rn77/taxation/taxes/usn/16598752/
нету ее в разделе 2.1.1, убрали эту строку

Владлен Синица

Здравствуйте. Если я ИП сам подаю свою декларацию, мне нужно заполнять поле «Наименование и реквизиты документа, подтверждающего полномочия представителя налогоплательщика» или нет?


Больше по теме
Новости

Подпишитесь на рассылки

Собираем самые полезные материалы, интересные мероприятия и важные новости в коротких письмах. Вы можете подписаться на одну из рассылок или на все сразу.

62K подписчиков

Дважды в неделю

Как вести бизнес в России

Важные новости, бизнес‑кейсы, разборы законов и практические советы для предпринимателей

15K подписчиков

Раз в неделю

Как зарабатывать на маркетплейсах

Новости торговых площадок, инструкции для селлеров и лайфхаки успешных продавцов

20K подписчиков

Раз в две недели

Мероприятия для бизнеса

Анонсы вебинаров, конференций и других событий для предпринимателей

3K подписчиков

Раз в две недели

Рассылка для бухгалтеров

Новости и советы, которые помогут упростить работу и больше зарабатывать